Автор: Денис Аветисян
Ученые разработали усовершенствованный метод моделирования электронной структуры вещества при высоких температурах и давлениях, открывающий новые возможности для изучения экзотических состояний материи.
Купил акции по совету друга? А друг уже продал. Здесь мы учимся думать своей головой и читать отчётность, а не слушать советы.
Бесплатный телеграм-канал
Метод SKANEX обеспечивает точность, сопоставимую с традиционными методами теории функционала плотности (DFT), но с существенно меньшими вычислительными затратами для моделирования теплых плотных веществ.
Несмотря на значительный прогресс в диагностике материалов при экстремальных условиях, теоретическое моделирование электронной структуры остается сложной задачей. В работе, посвященной ‘Unlocking the Power of Orbital-Free Density Functional Theory to Explore the Electronic Structure Under Extreme Conditions’, представлен новый подход, основанный на орбитально-свободной теории функционала плотности (ОСФП), позволяющий достичь точности, сопоставимой с традиционной теорией функционала плотности Kohn-Sham (DFT), при значительно меньших вычислительных затратах. Предложенный метод, получивший название SKANEX, обеспечивает эффективное моделирование электронной структуры в широком диапазоне условий, включая области теплых плотных веществ. Каковы перспективы применения SKANEX для исследования материалов в экстремальных условиях, например, в недрах звезд или при инерционном термоядерном синтезе?
Вызов электронной структуры: границы познания
Точное моделирование электронной структуры является фундаментальным для прогнозирования и понимания разнообразных свойств материалов — от их оптических и электрических характеристик до механической прочности и химической реакционной способности. Однако, эта задача сопряжена со значительными вычислительными трудностями. Сложность заключается в том, что необходимо учитывать взаимодействие всех электронов в системе, что приводит к экспоненциальному росту вычислительных затрат с увеличением числа электронов. O(N^3) — типичная сложность для многих методов, где N представляет собой число электронов. Это делает моделирование сложных материалов и предсказание их поведения в экстремальных условиях — например, при высоких температурах и давлениях — чрезвычайно трудоемким и требующим огромных вычислительных ресурсов.
Традиционные методы моделирования электронной структуры, такие как теория функционала плотности по Кону-Шаму (KSDFT), сталкиваются с серьезными ограничениями применительно к теплой плотной материи (WDM) и физике высоких энергий плотности. Эти ограничения обусловлены тем, что вычислительные затраты KSDFT растут нелинейно с увеличением числа частиц, что делает моделирование больших систем крайне затруднительным. В условиях WDM и высоких энергий плотности, характерных для астрофизических процессов, термоядерного синтеза и задач национальной безопасности, требуется обработка огромных массивов данных, что быстро превышает возможности существующих вычислительных ресурсов. В частности, необходимость точного описания корреляционных эффектов между электронами усложняет задачу и требует все более сложных и ресурсоемких алгоритмов. Таким образом, масштабируемость KSDFT становится узким местом, препятствующим получению достоверных результатов в этих критически важных областях науки и техники.
Ограничения, с которыми сталкиваются традиционные методы моделирования электронной структуры, существенно затрудняют проведение точных симуляций в экстремальных условиях, имеющих ключевое значение для широкого спектра научных и прикладных задач. В астрофизике это ограничивает понимание процессов, происходящих во внутренних областях планет и звезд, а также эволюции звездных систем. В области термоядерного синтеза, точность моделирования поведения материи при высоких температурах и давлениях напрямую влияет на разработку эффективных реакторов. Кроме того, вопросы национальной безопасности, связанные с моделированием поведения материалов при взрывных процессах и воздействии излучения, также требуют преодоления этих вычислительных ограничений, поскольку от адекватности симуляций зависит оценка рисков и разработка эффективных мер защиты. Таким образом, поиск альтернативных подходов к моделированию электронной структуры в экстремальных условиях является критически важной задачей.
Необходимость в вычислительно эффективных альтернативах моделированию электронной структуры обусловлена ограничениями традиционных методов, таких как теория функционала плотности (DFT), применительно к экстремальным условиям. В частности, при изучении тёплой плотной материи и физике высоких энергий, стандартные подходы сталкиваются с существенными вычислительными трудностями, препятствующими детальному анализу процессов, происходящих в астрофизике, термоядерном синтезе и областях национальной безопасности. Разработка новых алгоритмов и методик, способных обеспечить точность расчётов при разумных вычислительных затратах, является ключевой задачей современной материаловедческой науки и позволит продвинуться в понимании поведения материи в самых сложных условиях. Поиск таких альтернатив направлен на преодоление масштабируемости и повышение эффективности моделирования, что откроет возможности для предсказания свойств материалов и разработки новых технологий.

Орбитально-свободная DFT: новый горизонт вычислительной эффективности
Орбитально-свободная теория функционала плотности (OFDFT) представляет собой вычислительно эффективную альтернативу стандартной теории функционала плотности (KSDFT) благодаря исключению необходимости решения уравнений Kohn-Sham. В KSDFT значительные вычислительные затраты связаны с определением волновых функций, описывающих поведение электронов в системе. OFDFT, напротив, оперирует непосредственно электронной плотностью \rho(\mathbf{r}) и её производными, что позволяет избежать решения одноэлектронного уравнения и существенно снизить вычислительную сложность, особенно для систем с большим числом электронов. Это достигается за счёт использования функционала свободной энергии, зависящего только от плотности, что позволяет вычислять энергию и другие свойства системы напрямую из \rho(\mathbf{r}) .
Точность теории функционала плотности без орбиталей (OFDFT) напрямую зависит от качества функционала не взаимодействующей свободной энергии F_{s}[n], где n — плотность электронов. Этот функционал определяет кинетическую энергию электронов, не учитывая взаимодействия между ними. Неточности в аппроксимации F_{s}[n] приводят к значительным ошибкам в расчете энергии и других свойств системы. В то время как стандартная теория функционала плотности (KSDFT) использует волновые функции для расчета кинетической энергии, OFDFT стремится выразить ее непосредственно через плотность, что требует более сложных и точных функционалов свободной энергии для достижения сравнимой точности.
Ранние приближения в рамках теории функционала плотности без орбиталей, такие как модель Томаса-Ферми, демонстрируют недостаточную точность для широкого круга практических задач. Данная модель, основанная на локальной плотности, не учитывает градиентные поправки и корреляционные эффекты, что приводит к значительным ошибкам при расчете энергии связи, геометрии молекул и других свойств. В частности, модель Томаса-Ферми плохо описывает химические связи и не может адекватно предсказывать структуру молекул со сложными электронными конфигурациями. Неточности проявляются как в расчете энергии основного состояния, так и в определении распределения электронной плотности, ограничивая область применения данной модели в материаловедении и химии.
Функционал XWMF представляет собой более точную основу для орбитально-свободных расчетов, чем ранние приближения, такие как модель Томаса-Ферми. Он основан на нелокальном обмене и корреляционной энергии, что позволяет более адекватно описывать электронную плотность. Однако, для достижения точности, сопоставимой с расчетами на основе уравнений Kohn-Sham (KSDFT), необходима дальнейшая оптимизация параметров функционала XWMF и разработка более совершенных аппроксимаций для неинтерактивной свободной энергии F_{s}[\rho]. Исследования направлены на улучшение описания градиента плотности и кинетической энергии, что критически важно для корректного расчета энергии связи и других свойств материалов.

SKANEX: калибровка точности через прямое соответствие
SKANEX представляет собой новый подход в рамках теории функционала плотности (DFT), относящийся к классу OFDFT (orbital-free DFT). Его ключевой особенностью является прямая оптимизация не взаимодействующего функционала свободной энергии таким образом, чтобы результаты, полученные с его использованием, соответствовали результатам, полученным с помощью стандартного KSDFT (Kohn-Sham DFT). В отличие от традиционных OFDFT методов, которые часто используют приближенные функционалы, SKANEX стремится к достижению более высокой точности путем непосредственной минимизации расхождений между электронными плотностями, рассчитанными по OFDFT и KSDFT. Данный процесс оптимизации позволяет SKANEX приближаться к точности KSDFT, сохраняя при этом вычислительную эффективность, характерную для OFDFT методов.
В рамках метода SKANEX для минимизации расхождения между электронными плотностями, вычисленными методами OFDFT и KSDFT, используется метод Повелла. Этот алгоритм оптимизации позволяет итеративно корректировать параметры не взаимодействующего функционала свободной энергии, стремясь к совпадению плотностей, полученных с помощью обоих подходов. Метод Повелла эффективен в задачах многомерной оптимизации и особенно полезен в контексте SKANEX, где минимизация расхождения плотностей является ключевым шагом для достижения точности, сопоставимой с KSDFT, при значительно меньших вычислительных затратах.
Использование SKANEX позволяет проводить моделирование с точностью, сопоставимой с результатами, полученными методом KSDFT, при этом обеспечивая ускорение вычислений в диапазоне от 10 до 1000 раз. Данное ускорение достигается за счет оптимизации неинтерактивного функционала свободной энергии напрямую, что позволяет снизить вычислительные затраты без потери точности, необходимой для надежных результатов моделирования. Таким образом, SKANEX представляет собой эффективный инструмент для исследований, требующих высокой точности и скорости вычислений, особенно при работе с крупномасштабными системами.
Для проведения расчетов с использованием метода SKANEX разработаны специализированные программные пакеты, среди которых выделяется ATLAS. ATLAS предоставляет инструменты для эффективной реализации алгоритмов SKANEX и анализа полученных результатов. В то же время, для получения эталонных данных и сравнения точности, в качестве стандартного бенчмарка продолжает использоваться программный пакет Quantum ESPRESSO, реализующий метод KSDFT. Совместное использование ATLAS для SKANEX и Quantum ESPRESSO для KSDFT позволяет проводить валидацию и сравнительный анализ эффективности предлагаемого подхода.
Валидация SKANEX: новые горизонты понимания электронной структуры
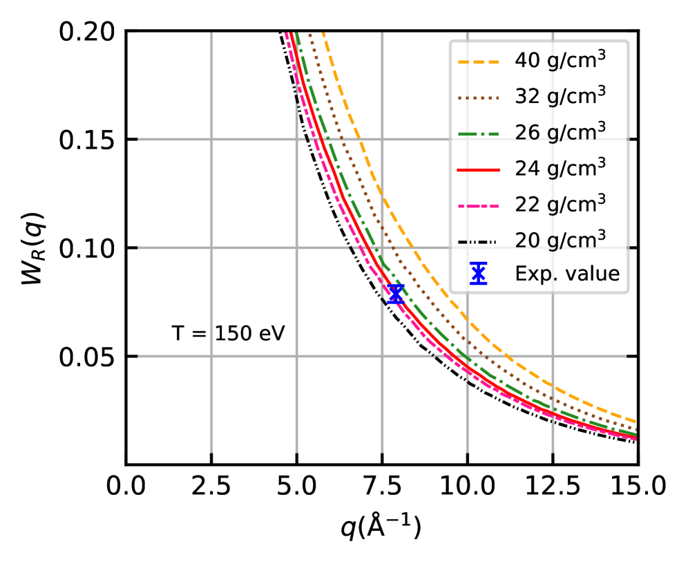
Метод SKANEX предоставляет возможность точного вычисления веса Рэлея — диагностической величины, крайне чувствительной к локализации электронов и электронной структуре вещества. Этот вес, по сути, отражает степень, в которой электроны распределены в пространстве, и позволяет исследователям детально изучать их поведение в экстремальных условиях. Вычисление веса Рэлея с высокой точностью, как это реализовано в SKANEX, открывает новые перспективы для понимания свойств материалов в экстремальных условиях, особенно важно для областей, таких как астрофизика и физика высоких энергий. Точное определение веса Рэлея позволяет, в свою очередь, получить информацию о степени металлизации вещества и характерных особенностях электронных переходов, что значительно расширяет возможности моделирования и анализа сложных материалов.
Метод SKANEX открывает уникальные возможности для детального изучения поведения электронов в экстремальных условиях, ранее недоступных для традиционных вычислительных подходов. В условиях высоких плотностей и температур, когда электроны перестают быть локализованными и начинают проявлять коллективное поведение, стандартные методы расчета сталкиваются с серьезными трудностями. SKANEX, напротив, позволяет точно определить степень локализации электронов, используя расчет Ралеевского веса, что критически важно для понимания свойств вещества в таких условиях. Это особенно актуально для исследования так называемой «теплой плотной материи» — состояния вещества, встречающегося в недрах планет и при взрывах, а также для моделирования процессов в астрофизике и физике высоких энергий. Возможность исследовать электронную структуру в этих условиях позволяет получить более точные предсказания о свойствах материалов и процессов, происходящих в экстремальных средах.
Исследования бериллия при плотности 23 г/см³ с использованием метода SKANEX позволили получить результаты, согласующиеся с высокоточными расчетами методом квантовой Монте-Карло (PIMC). Данное значение существенно ниже, чем предсказывалось ранее на основе химических моделей, которые оценивали плотность бериллия примерно в 30 г/см³. Полученное соответствие с PIMC расчетами подтверждает высокую точность SKANEX в определении плотности вещества в экстремальных условиях, где традиционные подходы оказываются недостаточно надежными. Такое расхождение с предыдущими оценками подчеркивает важность применения передовых вычислительных методов для корректного моделирования свойств материи при высоких плотностях и температурах, открывая новые возможности для изучения теплых плотных сред и физики высоких энергий.
Метод SKANEX представляет собой значительный прорыв в моделировании экстремальных состояний вещества, таких как теплые плотные материи и физика высоких энергий. Благодаря уникальному сочетанию вычислительной эффективности и высокой точности, SKANEX позволяет исследовать материалы в условиях, ранее недоступных для детального анализа. Это достигается за счет оптимизации алгоритмов расчета, что позволяет проводить симуляции, требующие значительно меньших вычислительных ресурсов, при сохранении надежности и достоверности результатов. В результате, исследователи получают возможность изучать фундаментальные свойства материалов и процессы, происходящие при экстремальных давлениях и температурах, что открывает новые перспективы в астрофизике, физике взрыва и других областях науки и техники.
Метод SKANEX представляет собой мощный инструмент для изучения фундаментальных свойств материалов и служит основой для моделирования в областях, имеющих значение для астрофизики и национальной безопасности. Возможность точного расчета характеристик электронного строения, в частности, веса Рэлея, позволяет исследовать поведение материи в экстремальных условиях, недоступных для традиционных подходов. Это открывает перспективы для понимания процессов, происходящих в недрах звезд и планет, а также для разработки новых материалов с заданными свойствами, что имеет непосредственное отношение к задачам обороноспособности и технологической независимости. Высокая точность и эффективность SKANEX делают его незаменимым при проведении сложных симуляций, позволяя прогнозировать поведение материалов в условиях, имитирующих взрывные процессы или воздействие мощных излучений.

Представленная работа демонстрирует стремление к созданию систем, способных адаптироваться к сложным условиям, подобно живым организмам. Метод SKANEX, предлагаемый авторами, отказывается от жестких рамок традиционных подходов в пользу гибкости и эффективности при моделировании экстремальных состояний вещества. Это напоминает о словах самой Мэри Уолстонкрафт: «Женщины должны быть рациональными существами, и, следовательно, должны быть обучены разуму». Подобно тому, как образование позволяет человеку адаптироваться к меняющимся обстоятельствам, так и SKANEX позволяет исследователям изучать поведение материи в условиях, ранее недоступных для точного моделирования. Упор на вычислительную эффективность позволяет не жертвовать точностью, создавая систему, которая развивается вместе с потребностями исследования, а не ограничивает их.
Что дальше?
Представленный метод, стремящийся к точности теории функционала плотности с орбиталями, подобен попытке обуздать течение реки плотиной. Он даёт иллюзию контроля над электронными процессами в условиях экстремальных давлений и температур, но каждое приближение — это обещание будущей погрешности. Подобно тому, как любое здание рано или поздно начинает само себя разрушать, так и любая модель требует постоянной адаптации к новым данным. Каждая зависимость от конкретного функционала — это дань прошлому, идущая вразрез с непредсказуемостью настоящего.
Поиск универсального функционала — это утопия, а стремление к абсолютной точности — иллюзия, требующая соглашения об уровне обслуживания. Вместо этого, следует сосредоточиться на понимании циклов самокоррекции в системах. Развитие методов, способных к автоматической калибровке и адаптации к экспериментальным данным, представляется более перспективным путем. В конечном итоге, система должна научиться чинить себя сама, а не полагаться на внешнее вмешательство.
Истинный прогресс, вероятно, лежит не в создании более совершенных инструментов, а в выращивании более устойчивых экосистем моделирования. Необходимо сместить фокус с предсказания отдельных свойств на понимание эволюции электронных структур под воздействием внешних факторов. Потому что системы не строятся — они растут.
Оригинал статьи: https://arxiv.org/pdf/2601.23002.pdf
Связаться с автором: https://www.linkedin.com/in/avetisyan/
Смотрите также:
- Откровенные заметки, слитые стримером Lacari, привели к его бану на Twitch и Kick.
- Все рецепты культистского круга в Escape from Tarkov
- Шоу 911: Кто такой Рико Прием? Объяснение трибьюта Grip
- Нечестивцам нет покоя: как получить старый ключ от коттеджа
- Решение головоломки с паролем Absolum в Yeldrim.
- В ролях: приглашенные звезды и актеры 22-го сезона 3-й серии «Морской полиции» (фотографии) – Донна Миллс в беде с Хэлом
- Акции UGLD. Южуралзолото ГК: прогноз акций.
- Где найти руду Ферриума в Arknights Endfield
- Лучшие шаблоны дивизий в Hearts Of Iron 4
- Arknights: Endfield — Интерактивная карта (Долина IV)
2026-02-03 02:48