Автор: Денис Аветисян
Новое исследование прогнозирует, насколько точно современные и будущие обсерватории смогут обнаружить влияние массивных спин-2 полей на распространение гравитационных волн.
Купил акции по совету друга? А друг уже продал. Здесь мы учимся думать своей головой и читать отчётность, а не слушать советы.
Бесплатный телеграм-канал
В работе оцениваются пределы детектирования модифицированной гравитации с использованием данных LIGO, Einstein Telescope и LISA.
Несмотря на успехи общей теории относительности, расширения, включающие массивные спин-2 поля, остаются важным направлением исследований в гравитации. В работе ‘Effects of massive spin-2 fields on gravitational wave propagation’ исследуется влияние этих полей на распространение гравитационных волн, рассматривая феноменологическую модель, совместимую с теориями массивной бигравитации и моделями с экстра-измерениями. Получен аналитический передаточный функтор в ультрарелятивистском пределе, позволяющий установить границы детектируемости, и выполнен прогноз доступного параметра пространства для существующих и будущих детекторов гравитационных волн, таких как LIGO, Einstein Telescope и LISA. Смогут ли будущие наблюдения гравитационных волн подтвердить или опровергнуть существование этих массивных спин-2 полей и, таким образом, пролить свет на природу гравитации?
За гранью общей теории относительности: Поиск массивного гравитона
Общая теория относительности, несмотря на свою выдающуюся успешность в описании гравитации, сталкивается с фундаментальной проблемой при попытке включить в неё массивность гравитона — квантовой частицы, переносящей гравитационное взаимодействие. Теория Эйнштейна изначально предполагает, что гравитон является безмассовой частицей, что позволяет избежать ряда теоретических сложностей. Однако, введение массы гравитону открывает возможности для решения некоторых космологических загадок и модификации предсказаний о гравитационных взаимодействиях на различных масштабах. Попытки построения последовательной теории массивной гравитации долгое время наталкивались на серьёзные препятствия, включая появление «призраков» — частиц с отрицательной энергией, приводящих к нестабильности теории, и разрыва в предсказаниях о гравитационных взаимодействиях на малых и больших расстояниях. Именно поэтому, поиск последовательной теории массивной гравитации остаётся одной из ключевых задач современной теоретической физики, требующей разработки новых математических инструментов и физических принципов.
Введение массы в гравитон, гипотетическую частицу-переносчик гравитационного взаимодействия, открывает захватывающие перспективы для решения ряда космологических загадок. Теоретически, это может объяснить природу тёмной энергии и тёмной материи, а также изменить понимание ранней Вселенной. Изменение предсказаний о гравитационных взаимодействиях, вызванное массивным гравитоном, может проявиться в отклонениях от законов общей теории относительности на различных масштабах. Например, это может изменить скорость распространения гравитационных волн или повлиять на структуру крупномасштабной Вселенной, что потенциально может быть обнаружено с помощью астрономических наблюдений и экспериментов по гравитационной физике. Исследования в этой области направлены на поиск теоретически непротиворечивых моделей, способных объяснить наблюдаемые феномены и предсказать новые эффекты, связанные с массой гравитона.
При попытках наделения гравитона массой в рамках модификаций общей теории относительности возникают серьезные теоретические проблемы. Так называемый «призрак Булуэра-Дезера» — это нестабильность, проявляющаяся в виде отрицательной кинетической энергии, приводящей к разрушению вакуума и нарушению причинности. Не менее проблематична и «непрерывность Ван Дама-Вельтмана-Захарова», которая предсказывает, что в пределе бесконечно большой массы гравитона, гравитационное взаимодействие становится долгодействующим, что противоречит экспериментальным данным и наблюдаемым свойствам гравитации. Эти несоответствия указывают на необходимость разработки более сложных и самосогласованных теорий массивной гравитации, способных избежать указанных патологий и сохранить предсказательную силу гравитационной теории.
dRGT: Решение проблемы призраков в массивной гравитации
Модель dRGT представляет собой нелинейное расширение теории массивной гравитации, решающее проблему призрака Булуэра-Дезера (Boulware-Deser ghost). Данная проблема возникает из-за наличия нефизических степеней свободы с отрицательной кинетической энергией в линеаризованных теориях массивной гравитации. Модель dRGT вводит дополнительные степени свободы, описываемые дополнительными полями, которые взаимодействуют с метрикой и эффективно «отменяют» нефизические моды, обеспечивая стабильность теории. В частности, вводится четыре дополнительных скалярных поля, которые изменяют структуру гравитационных взаимодействий, позволяя избежать появления призрака и обеспечивая корректное описание массивного гравитона.
Модель dRGT базируется на специфической метрической формулировке, включающей в себя тензорную структуру, необходимую для описания массивного гравитона. Ключевым элементом является включение члена Фирца-Паули m^2 h_{\mu\nu} , где m представляет массу гравитона, а h_{\mu\nu} — возмущение метрики. Этот член вносит вклад в кинетический член лагранжиана, позволяя гравитону приобретать массу и, следовательно, иметь конечное расстояние взаимодействия. Конкретная форма метрики построена таким образом, чтобы обеспечить ковариантность и корректное поведение в пределе бесконечно малой массы гравитона, восстанавливая общую теорию относительности.
В модели dRGT механизм Вейнштейна играет ключевую роль в обеспечении соответствия теории наблюдаемым данным. Этот механизм возникает благодаря нелинейностям в гравитационном взаимодействии и эффективно экранирует влияние массивного гравитона на малых энергиях. Суть механизма заключается в том, что при уменьшении энергии взаимодействия, дополнительные степени свободы, введенные в dRGT, вносят вклад, компенсируя вклад массивного гравитона и предотвращая возникновение нефизических эффектов, таких как нарушение принципа эквивалентности или появление отрицательной энергии. В результате, на больших расстояниях и при низких энергиях, гравитация описывается общей теорией относительности, а эффекты массивного гравитона проявляются лишь на коротких расстояниях и высоких энергиях, что делает модель dRGT наблюдательно жизнеспособной.
Массивный гравитон и гравитационные волны: Поиск экспериментальных подтверждений
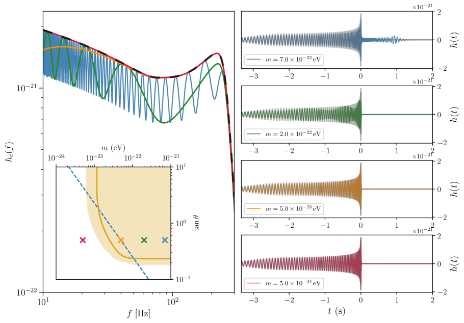
Теории массивной гравитации предсказывают модификации распространения гравитационных волн, в частности, существование массивных тензорных мод. В отличие от безмассовых гравитонов, предполагаемых общей теорией относительности, массивные гравитоны обладают ненулевой массой m_g, что приводит к появлению дополнительных степеней свободы в гравитационном поле. Эти массивные моды вносят вклад в гравитационные волны, изменяя их дисперсионные соотношения и поляризационные свойства. В результате, наблюдаемые гравитационные волны могут демонстрировать отклонения от предсказаний общей теории относительности, проявляющиеся в изменении скорости распространения, амплитуды и поляризации сигнала. Спектр и амплитуда этих дополнительных мод напрямую зависят от массы гравитона m_g, что позволяет использовать наблюдения гравитационных волн для установления ограничений на эту величину.
Модификации, предсказываемые массивной гравитацией, проявляются в изменении формы гравитационных волн, особенно в области низких частот. Это связано с появлением дополнительных степеней свободы и изменением скорости распространения гравитационных волн. Современные и перспективные гравитационно-волновые обсерватории, такие как LIGO, Virgo и Einstein Telescope, обладают чувствительностью, необходимой для регистрации этих изменений. Анализ формы сигнала и времени прибытия гравитационных волн позволяет установить ограничения на массу гравитона и проверить предсказания массивной гравитации. Эффекты наиболее заметны для волн, распространяющихся на большие расстояния и имеющих низкие частоты, что делает анализ сигналов от слияния черных дыр и нейтронных звезд ключевым инструментом для поиска отклонений от общей теории относительности.
Текущие наблюдения гравитационных волн позволяют ужесточить существующие ограничения на массу гравитона, особенно для значений ниже 10-20 эВ. Аналитические прогнозы, основанные на анализе данных, полученных с детекторов LIGO и Virgo, демонстрируют, что точность определения массы гравитона улучшается с увеличением количества наблюдаемых событий и повышением чувствительности детекторов. В частности, анализ временных задержек между сигналами, полученными различными детекторами, позволяет более точно определить скорость распространения гравитационных волн, что напрямую связано с массой гравитона. Предполагается, что будущие обсерватории, такие как Einstein Telescope и Cosmic Explorer, позволят существенно улучшить эти ограничения и, возможно, обнаружить отклонения от предсказаний общей теории относительности, связанные с ненулевой массой гравитона.
Критерий различимости Линдблома представляет собой метод определения отклонений наблюдаемых гравитационных волн от предсказаний общей теории относительности, что может свидетельствовать о существовании массивной гравитации. Данный критерий основан на сравнении параметров волн, полученных из различных теоретических моделей. Анализ текущих и будущих наблюдений позволяет установить пределы обнаружимости для массы гравитона. Согласно существующим оценкам, данный метод позволяет обнаруживать отклонения, соответствующие массам гравитона до 10^{-{20}} эВ, что делает его эффективным инструментом для проверки моделей массивной гравитации и уточнения границ применимости общей теории относительности.
Будущее гравитационно-волновых обсерваторий: Новые горизонты в исследовании гравитации
Современные гравитационно-волновые обсерватории, такие как LIGO, Virgo и KAGRA, а также каталог GWTC-4, содержащий данные о зарегистрированных сигналах, предоставляют бесценную информацию о Вселенной. Однако, эти инструменты обладают определенными ограничениями, в особенности при регистрации гравитационных волн с низкой частотой. Это связано с техническими особенностями работы детекторов и их чувствительностью в определенном диапазоне частот. Низкочастотные гравитационные волны, возникающие, например, при слиянии сверхмассивных черных дыр или в ранней Вселенной, сложнее зарегистрировать, что ограничивает возможности изучения этих явлений. Для преодоления этих ограничений разрабатываются новые поколения детекторов, способные улавливать более широкий спектр частот и, тем самым, расширить наше понимание гравитационной Вселенной.
Будущие обсерватории, такие как Einstein Telescope, Cosmic Explorer и миссия LISA, призваны значительно расширить диапазон обнаруживаемых частот гравитационных волн. Это позволит зафиксировать сигналы от массивных гравитационных источников, которые остаются недоступными для существующих детекторов LIGO, Virgo и KAGRA. Увеличение чувствительности к низкочастотным волнам откроет новое окно во Вселенную, позволяя изучать слияния сверхмассивных черных дыр, процессы в ядрах активных галактик и, возможно, даже реликтовые гравитационные волны, оставшиеся от Большого Взрыва. Благодаря более широкому частотному диапазону и повышенной чувствительности, эти обсерватории позволят получить детальную информацию о самых экстремальных и загадочных объектах во Вселенной, углубив наше понимание гравитации и космологии.
Для эффективной обработки данных, которые поступят от будущих гравитационно-волновых обсерваторий, таких как Einstein Telescope и LISA, активно разрабатываются специализированные инструменты. Библиотека gwtoolbox предоставляет широкий спектр функций для моделирования сигналов и анализа данных, позволяя исследователям заранее подготовиться к особенностям работы с этими приборами. В сочетании с приближением «Box-Like Detector» — методом, упрощающим расчеты чувствительности детекторов — становится возможным проведение аналитических оценок и установление нижних границ для доступного параметра пространства. Этот подход позволяет предсказать, какие типы гравитационных волн будут доступны для регистрации, и оптимизировать стратегии поиска, существенно повышая эффективность анализа данных и расширяя возможности изучения массивных гравитационных объектов.
Аналитические прогнозы устанавливают нижние границы доступного параметрического пространства для будущих детекторов гравитационных волн. Возможность регистрации сигнала напрямую связана с характерным масштабом массы, определяемым выражением \sqrt{H_0 <i> 2π </i> f_c / α}, где H_0 — постоянная Хаббла, f_c — характеристическая частота детектора, а α — параметр, зависящий от эффективности обнаружения. Этот масштаб массы фактически определяет минимальную массу объектов, сигналы от которых детектор сможет зарегистрировать с достаточной достоверностью. Таким образом, понимание и оптимизация этого предела необходимы для определения, какие астрофизические события и процессы будут доступны для изучения с помощью нового поколения гравитационно-волновых обсерваторий и для интерпретации полученных данных.

Исследование влияния массивных спин-2 полей на распространение гравитационных волн напоминает попытку вырастить сложную экосистему, а не построить статичную структуру. Авторы, словно архитекторы, предсказывают будущие сбои, оценивая пределы детектирования с помощью LIGO, Einstein Telescope и LISA. Как отмечал Юрген Хабермас: «Коммуникативное действие направлено на достижение взаимопонимания, а не на достижение успеха». В данном случае, успех детектирования зависит не только от мощности приборов, но и от понимания тонких взаимодействий, определяющих распространение гравитационных волн — от способности увидеть предсказанные ‘сбои’ в структуре пространства-времени. Подобно тому, как сложно задокументировать пророчество после его исполнения, точно предсказать все нюансы модифицированной гравитации представляется задачей, требующей постоянной адаптации и пересмотра.
Что дальше?
Представленные расчеты, как и любая попытка предсказать поведение гравитационных волн в модифицированной гравитации, неизбежно строятся на допущениях. Каждая новая архитектура, обещающая более точные волновые формы, вскоре потребует жертвоприношений в виде вычислительных ресурсов и, что важнее, понимания истинной природы массивных спин-2 полей. Не стоит забывать, что порядок — это лишь временный кэш между неизбежными сбоями, и даже самые элегантные модели не застрахованы от неожиданных артефактов.
Настоящая проверка потребует не только повышения чувствительности детекторов LIGO, Einstein Telescope и LISA, но и смелого взгляда на альтернативные сценарии. Критерий Линдблома, полезный инструмент, но не абсолютная истина. Более глубокое изучение нелинейных эффектов и, возможно, включение квантовых поправок, может открыть новые горизонты. В конечном итоге, задача состоит не в том, чтобы построить идеальную модель, а в том, чтобы научиться интерпретировать хаос, который неминуемо возникнет.
Системы, подобные тем, что изучаются здесь, — это не инструменты, а экосистемы. Их нельзя построить, только взрастить. И пусть поиск массивных спин-2 полей окажется тщетным, сам процесс поиска расширит границы понимания гравитации и, возможно, откроет неожиданные связи с другими фундаментальными силами. Ведь иногда ценность заключается не в ответе, а в правильно сформулированном вопросе.
Оригинал статьи: https://arxiv.org/pdf/2601.15201.pdf
Связаться с автором: https://www.linkedin.com/in/avetisyan/
Смотрите также:
- Прогнозы криптовалюты AXS: информация о ценах на AXS
- Решение головоломки с паролем Absolum в Yeldrim.
- Откровенные заметки, слитые стримером Lacari, привели к его бану на Twitch и Kick.
- Шоу 911: Кто такой Рико Прием? Объяснение трибьюта Grip
- Нечестивцам нет покоя: как получить старый ключ от коттеджа
- Все рецепты культистского круга в Escape from Tarkov
- YAPYAP Список заклинаний
- The Planet Crafter: полное руководство по картам и биомам
- 15 лучших законченных серий манхвы, которые стоит прочитать, в рейтинге
- Где находится точка эвакуации «Туннель контрабандистов» на локации «Интерчейндж» в Escape from Tarkov?
2026-01-22 23:14